![]() RasMol2.7.2.1, and stucked by GifBuilder |
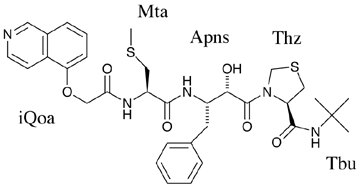
HIV protease inhibitor: KNI272
systematic name: 3-[3-benzyl-2-hydroxy-9-(isoquinolin-5-yloxy)- 6-methylsulfanylmethyl-5,8-dioxo-4,7-diazanonanoyl]- N-tert-butyl-1,3-thiazolane-4-carboxamide}
|
   
| formula | C33 H41 N5 O6 S2, 0.803(H2 O) | ||
| weight | 682.33 | ||
| symmetry | monoclinic | ||
| space group | P21 | ||
| Cell | Crystal | ||
| a (Ang) | 10.7631(4)   | description | block |
| b (Ang) | 13.1751(4) | colour | colorless |
| c (Ang) | 12.5623(5) | size (mm3) | 0.25x0.108x0.02 |
| alpha (deg) | 90.0 | Dx (g/ml) | 1.281 |
| beta (deg) | 96.887(2) | F(000) | 724 |
| gamma (deg) | 90.0 | mu (mm-1) | 0.202 |
| V (Ang^3) | 1768.54(11) | ||
| Z | 2 | ||
| Refinement | Diffrn measurement | ||
| Flack | 0.49(14) | device type | Rigaku RAXIS-IV |
| parameters | 504 | decay | --- |
| restraints | 1 | index limit | -13-h-13,-16-k-16,0-L-15 |
| R_factor_all | 0.0730 | Rint | 0.07 |
| R_factor_gt | 0.0669 | reflections(meas) | 3571 merged form 5965 |
| wR_factor_ref | 0.1911 | reflections(merged) | 3321 .gt. 2sigma(I) |
| wR_factor_gt | 0.1792 | Structure | |
| shift/su_max | 0.001 | solution | SHELXS-97 |
| shift/su_mean | 0.004 | refinement | SHELXL-97 |
Back to the structure index